Micro Refined Wood Light Setups

There’s a very tiny chance that the added plank on the back right burns instantly and floods the portal. To solve that you can place a block above it before building the portal and remove it after. I’m not sure if this makes it not worth it entirely. I decided to still put it there in the video and simulations to match with previous results.

The ordering should be optimal but I spent 10 minutes to record doing it correctly and it really doesn’t matter that much.

more details on this setup coming out with the rest of the analysis some where the next 5 hours days months or something i seriously regret making these statements that i do something tomorrow i just get tired and burn out randomly for no reason


Refined from:
Micro Improved Wood Light Setup
Credit to doogile for the early bottom front lava placement and dirt on the side.

See also:
Wood Lighting Explained
Wood Light ‘Visualize’ Map
A New Completely Vanilla Wood Light Standardization Idea (i really like this idea please read)

2 Likes

Hi, was it checked where placing leaves instead of planks is better? Or should I just use all leaves when i have them?

If I remember correctly replacing every plank with leaves is ~0.1s(±~0.1s) slower light time for the old ‘micro improved’ setup. Before I though with leaves you can insta-break certain blocks and drastically speed up the setup build but I guess if you only replace the key ones with planks you can get that boost as well. Regardless, even it does give 0.1s faster light to replace critical leaves with planks you build the setup 0.2s slower having to swap between blocks anyways.

(this information was supposed to be in the final part of the analysis, and i haven’t tested only replacing some of them or on this latest setup which i was also planning to include but i’m kind of done with this project and also supposed to be on break so it’ll either come out after me finishing(or get bored of) another few projects which is like 2 months or never come out i guess)

1 Like

silver asked me to make a blacksmith wood light setup 2 weeks ago, here are the setups i came up with:

I was only able to find this one reasonably good setup made by pncakespoon:

It only utilized 4 blocks of direct light lava which is kind of a waste, so I put together this setup that utilizes 6 blocks of direct light lava(though without spread):

and this setup that has 4 blocks of heating planks(which, considering its so good, might even be worth doing as an overlap portal):

(top back planks are there to high roll and help spread when the top front ones burn into fire(I call the side towards lava front))

I just realized that you can build the portal one block out and rest of the setup exact same so you mine way less blocks and setup ~5s faster for the complete setup.

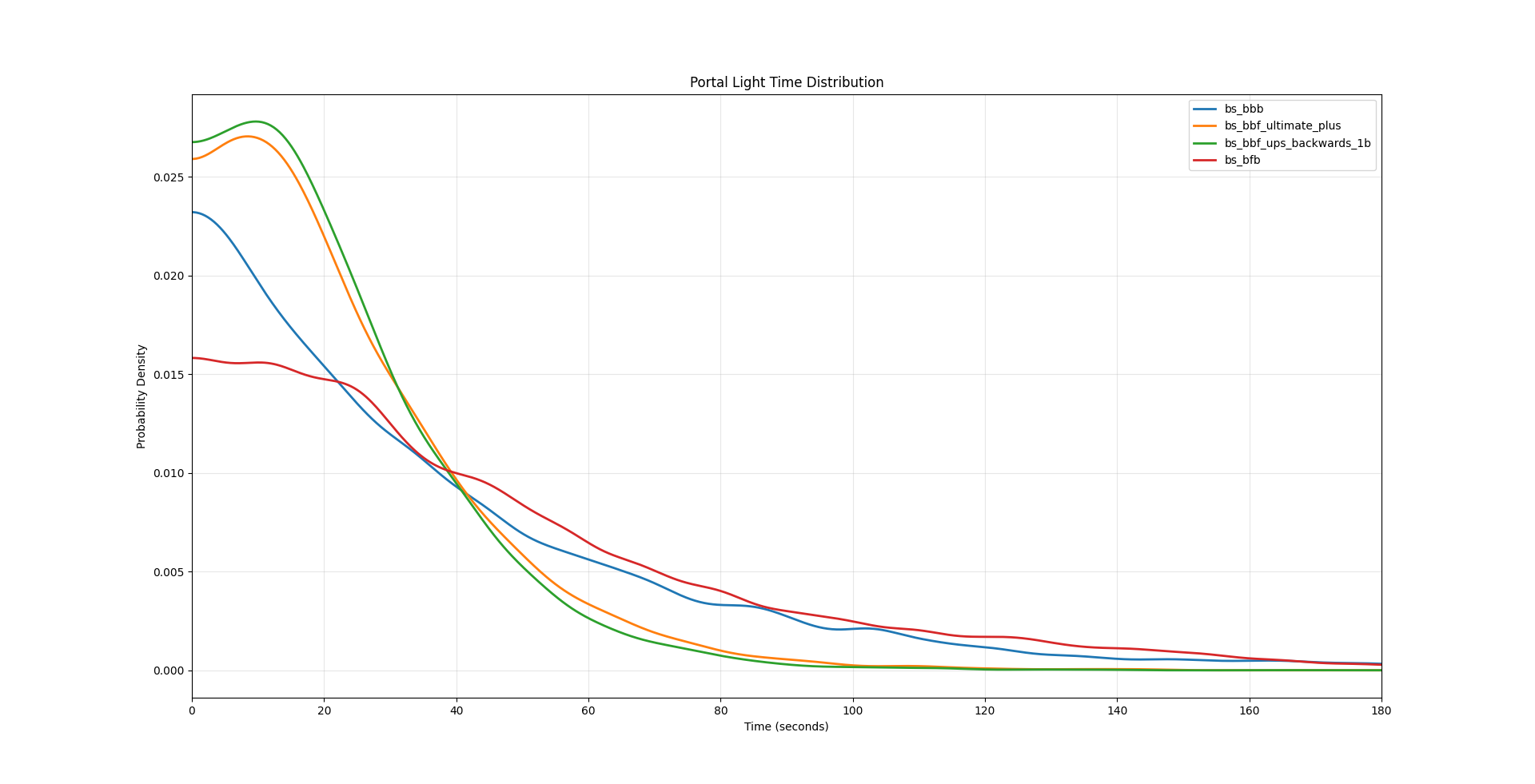
Design Name Avg (s) Std Err Std Dev 99th percentile Samples
bs_bbb 39.4516 0.4566 39.2811 179.7000 7402
bs_bbf_ultimate_plus 23.8433 0.1777 19.5111 88.6600 12061
bs_bbf_ups_backwards_1b 22.3501 0.1619 17.7957 79.9390 12075
bs_bfb(pncakespoon’s og setup) 46.6573 0.5285 43.2104 198.1060 6685

ok maybe i’m lying and haven’t done enough manual testing to realize that when the leaves on the bottom burn out the portal spill but for the og setup it does not spill

oh also the og setup has a very tiny chance of naturally spilling as well:

if the bottom right leaf burns out with fire on its top surface it can also spill

solution:


(you don’t have to place them in this order, just place a leaf block on the left during the left jump and it’s much cleaner)

even you don’t get the early lava boost and have to spend time placing more blocks you still get to instamine that 4 leaves instead of stone and get to skip placing the back 2 lava if you get a big enough lava pool so i think it is worth it

oh and the boost from 2 deep


also hey if you have ideas or have problems with all my work you can make an account on frontcage and send them in the respective posts i can’t watch streams when i am asleep ok

hmm the one extending on the right can also burn also the right lava below is chill and doesn’t need to be blocked

i think it should be spillproof this time unless 2 leaves burn the same time in which case unlucky i guess

you can do this to skip replacing the lava if the ground is flat and the edge you are building on only has 4 lava but it’s really dank

what are the numbers for the best one, but you dont mine the 4 dirt / 2 cobble in the back, meaning its just the 4 planks then you instantly go back and place the 6? i feel like it could be faster avg than the bs_bbb video, but still allows for sufficient overlap time within the village.

Design Name Avg (s) Std Err Std Dev 99th percentile Samples
bs_bbb 39.4516 0.4566 39.2811 179.7000 7402
bs_bbf_lite 28.1214 0.2503 24.5576 114.6375 9626
bs_bbf_ups_backwards_1b 22.3501 0.1619 17.7957 79.9390 12075
bs_bfb 46.6573 0.5285 43.2104 198.1060 6685

Only the back 4 and front 6 planks(bs_bbf_lite) averaged 28.1214±0.2503s, so 5.8s slower average after setup built while having 4s faster setup completion. So there are definitely at least some parts if not all in the best one not worth doing for overlap, which probably includes mining the 2 cobble so it needs to be further tested.

but i don’t want more of this project for now so someone can run the tests if they want the results like i made the simulator open source so people can run tests for themselves but then i burn out and not write the part that instruct people how to do that and in the end i have to run 293407927 more tests myself which is all my fault i guess

1 Like

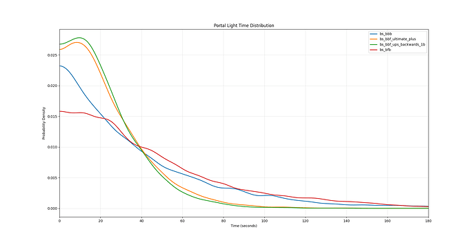
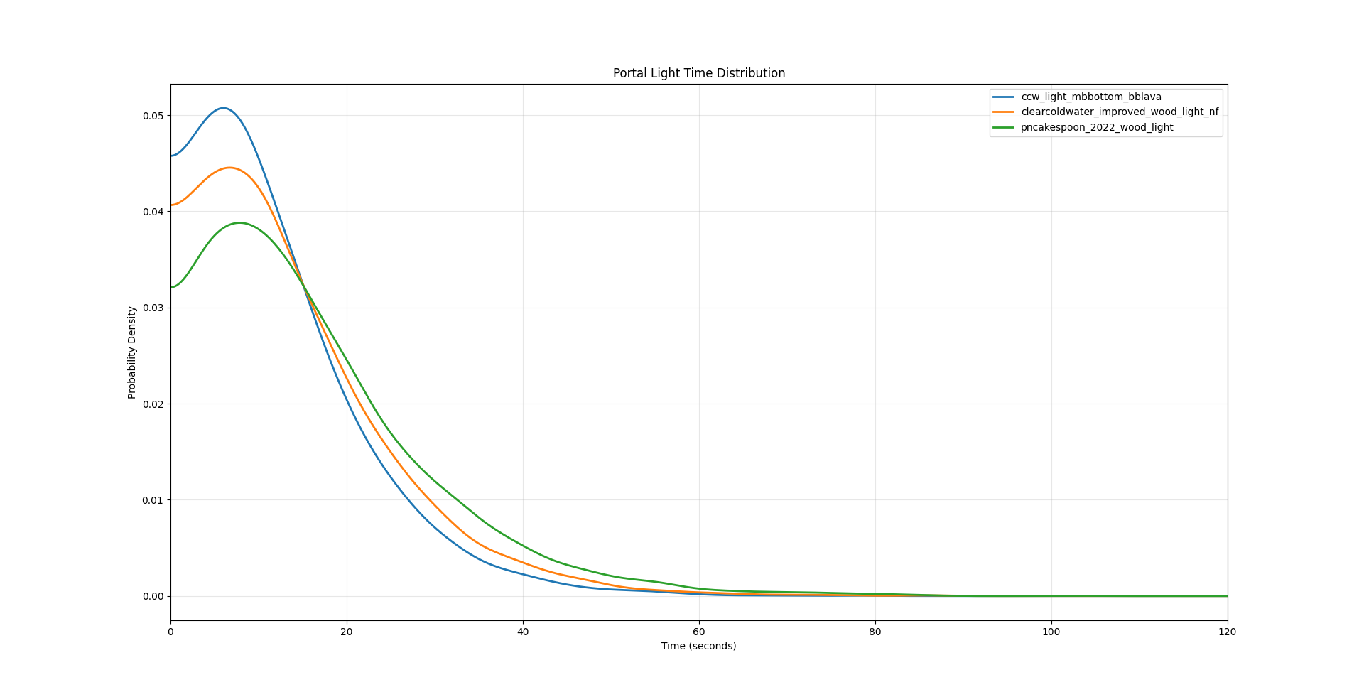
wait i just realized i technically never showed the stats of the refined version

Design Name Avg (s) Std Err Std Dev 99th percentile Samples
ccw_light_mbbottom_bblava 12.3850 0.0805 9.6961 44.6500 14494
clearcoldwater_improved_wood_light_nf 14.0469 0.0946 10.9941 49.2550 13496
pncakespoon_2022_wood_light 16.5286 0.1173 12.8292 58.8215 11958

i also want to talk about the extreme cases. you see in the refined version 99%tile is 44.65 seconds, which means roughly only 1% of the time you would get a light slower than that, and the light time pdf is decaying roughly exponentially. so you can estimate that roughly 0.01% of the time do you get a light slower than 90 seconds(actually, in the 14494 samples the slowest light took 79.8 seconds). so if someone claims that they got a ‘2 minute wood light’, it is most likely that they didn’t do the setup correctly instead of just being purely unlucky; if you see your opponent supposingly got a 2 minute wood light, you can safely assume that they just died and don’t have to feel bad about it.